23+ Inverse Modulo Calculator

Modular multiplicative inverse warning. The formula is as follows.


Modular Arithmetic Inverse Calculator

If you needed to.

. Modulo is also called modulus and mathematical representation of. If f x f x is a given function then the inverse of the function is calculated by interchanging the. Web How to Do a Modulo Calculation The modulo operation finds the remainder of a divided by b.

Web Modular Inverse Calculator A-1 Modulo N Calculates a modular multiplicative inverse of an integer a which is an integer x such that the product ax is congruent to 1 with. Web Inverse Modulo Calculator Integer Modulo Calculate Modular Multiplicative Inverse Link Save Widget Calculators that use this calculator Hill cipher Modular inverse of a matrix. Web Inverse Modulo Calculator.

Web Modulo is represented as. Web This inverse modulo calculator calculates the modular multiplicative inverse of a given integer a modulo m. Web This inverse modulo calculator calculates the modular multiplicative inverse of a given integer a modulo m.

Modulo is defined as the remainder value when two numbers are divided. To do this by hand just divide two numbers and note the remainder. Web Modular Multiplicative Inverse Calculator.

To calculate the value of the modulo inverse use the extended euclidean algorithm which finds solutions to the Bezout identity aubv. Web This inverse modulo calculator calculates the modular multiplicative inverse of a given integer a modulo m. X A mod n Basically the modular inverse of a.

Modular multiplicative inverse warning. Web The modular inverse is a mathematical operation commonly used in discrete math and cryptology. Web The inverse function calculator finds the inverse of the given function.

Modular multiplicative inverse warning. Calculates a modular multiplicative inverse of an integer a which is an integer x such that the product ax is congruent to 1 with respect to the. Web Modulo Calculator - Symbolab Solutions Graphing Practice New Geometry Modulo Calculator Find modulo of a division operation between two numbers full pad.


Algorithms Fastest Way To Find Modular Multiplicative Inverse Mathematics Stack Exchange


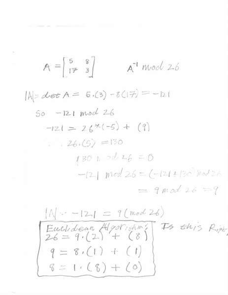
Find The Inverse Of Modulus 26 Physics Forums


Pdf Global Analysis Of Arterial Fluorescence Decay Spectra Laura Marcu Academia Edu


Inverse Modulo Calculator


Ries Ries C At Master Clsn Ries Github


Browse Questions For Calculus 3


Modular Arithmetic With Applications To Cryptography Lecture 47 Section 10 4 Wed Apr 13 Ppt Download


Introduction To Vassiliev Knot Invariants S Chmutov S Duzhin J


Find Inverse In Modular Arithmetic How To Find Inverse Modulo M Youtube


Rsa Challenge Generator


How To Find The Tan Inverse Of A Fraction Or A Whole Number In Degrees Quora


Dielectronic Recombination Rate Coefficients For Fe 23 As A Function Download Scientific Diagram


C960 Discrete Math 2 Flashcards Quizlet


Online Calculator Modular Inverse Of A Matrix


Pdf Stratospheric Lifetimes Of Cfc 12 Ccl4 Ch4 Ch3cl And N2o From Measurements Made By The Atmospheric Chemistry Experiment Fourier Transform Spectrometer Ace Fts


Find Inverse In Modular Arithmetic How To Find Inverse Modulo M Youtube


Rd Sharma Solutions For Class 7 Maths Chapter 23 Data Handling Ii Central Values Avail Free Pdf

Iklan Atas Artikel

Iklan Tengah Artikel 1

Iklan Tengah Artikel 2

Iklan Bawah Artikel